En este articulo me gustaría hablar de las implicaciones que tiene un juego de "single length" sobre el vuelo de la bola. A continuación se muestran los perfiles de vuelo típicos con hierros de longitud única para una velocidad de swing de 93 mph con El Hierro 7, adelantando que la velocidad de swing tendrá una gran influencia en el rendimiento de estos hierros.

Los principios básicos de la construcción de un juego de este tipoon bastante sencillos. Al tener una única longitud, el equilibrio del juego, ya sea por Swingweight, ya sea por lo que se ha dado en llamar MOI, es mas sencillo que en un juego de longitud variable, pues la cabeza puede y debe tener el mismo peso en todos los hierros, al ser las varillas iguales en peso y características, al contrario de lo que ocurre con juego de longitud variable, en el que al intentar mantener el swingweight el peso de las cabezas va disminuyendo según aumenta la longitud del palo.
Habitualmente se elige el hierro 7 como longitud media. ¿Porque se elige esta longitud? Me voy a permitir la licencia de retrasar esta respuesta en el artículo.
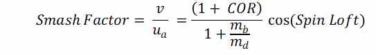
La diferencia fundamental entre un juego tradicional y un juego "single length" es el "origen" de la velocidad de la bola. Si recordáis el articulo Un modelo de impacto lineas y concepto COR la velocidad de inicio del vuelo, considerada velocidad de lanzamiento se va a aproximar a

Como veis, la velocidad de lanzamiento depende básicamente de tres parámetros:
1.- La velocidad de impacto, que en este caso será similar, muy equivalente a la típica del equivalente (hierro 7) en un juego tradicional
2.- Coseno del Spin Loft, luego dependerá del loft del palo.
3.- COR del palo.
¿Que ocurre con los palos mas largos que el equivalente hierro de un juego tradicional (habitualmente hierro 7)? Fundamentalmente se pierde una parte importante de la velocidad generada, al ser la velocidad inferior por tener una longitud inferior en un juego de palos de longitud única.
¿Como se recupera esa velocidad de lanzamiento? Asumiendo que el hierro equivalente (hierro 7) esta optimizado, el COR será constante y el mejor que pueda conseguir el fabricante en esos palos. Luego el fabricante solo puede jugar con el coseno del loft del palo, y para aumentar el coseno del loft el fabricante tiene que disminuir el loft del palo con respecto al loft equivalente, esto es, tenemos un palo de longitud inferior al equivalente y mas cerrado que el equivalente.
¿Que ocurre con los palos mas cortos que el equivalente hierro de un juego tradicional (habitualmente hierro 7)? Fundamentalmente debido al la longitud superior de estos palos a la que tendría el palo equivalente, la velocidad de palo de longitud única generada será mayor, y hay que reducir la velocidad de lanzamiento generada con una velocidad de palo superior, ligada como se ha dicho a la mayor longitud.
¿Como se disminuye esa velocidad de lanzamiento? El fabricante puede jugar con el coseno del loft del palo, esto es, para diminuir velocidad puede disminuir el coseno del loft, y el fabricante tendría que aumentar el loft del palo con respecto al loft equivalente; luego tendríamos un palo de longitud superior al equivalente y mas abierto que el equivalente. Otra opción que el fabricante puede tomar es reducir el COR y suministrar palos inferiores al 7 con un diseño que no optimice el COR en el impacto, disminuyendo la velocidad y sumando este efecto al efecto de modificar el loft, o incluso mantener el loft de los palos.
¿En que se traducen estas modificaciones? En vuelos de bola completamente diferentes. Para construir los gráficos de vuelo de bola he utilizado datos de impacto recogidos de diferentes reviews en internet.
De la pagina http://www.clubworksuae.com/index.php/s ... ling-irons he sacado los datos para calcular los vuelos de una golfista que tiene velocidad de swing de 93 mph, y hay que decir que esto es una velocidad bastante elevada. Esta velocidad tendría una velocidad equivalente en driver de 93 * 46 (pulgadas driver)/37 (pulgadas hierro 7) que resulta en torno a los 115 mph. A continuación se muestra la gráfica con los perfiles de vuelo que se desprenden.

De esta otra pagina he sacado datos para hacer vuelos de bola de una persona mas humana, que tenia 77 mph en su hierro 7 http://www.dlancegolf.com/from-the-lab/ ... t-results/ En este caso, la velocidad equivalente del driver sería de 95 mph, que tampoco es mala velocidad, pero que es mucho mas humana. A continuación se muestra la gráfica con los perfiles de vuelo que se desprenden.

¿Que conclusiones podemos sacar de estos vuelos?
1.- El juego de single length se deteriora drásticamente en los hierros que se recortan respecto al juego equivalente tradicional (del 7 para arriba). En el vuelo de estos hierros, aunque se mantenga la velocidad de salida con el palo equivalente del juego tradicional, se ha disminuido el loft, con lo que se ven afectados a la baja el ángulo de lanzamiento y el spin. Son vuelos mas tendidos y con menos spin, que resultan mas difíciles de parar en el green, y en la que los efectos laterales indeseados eran mas significativos.
2.- El deterioro del golpeo de los hierros que se recortan respecto al juego equivalente es tanto mas acusado como inferior es la velocidad de swing del golfista, como puede comprobarse con los dos casos que se presentan. En realidad esto es lógico, pues es conocido entre los fabricantes que para poder jugar hierros largos con solvencia se necesitan determinadas velocidades de swing, tanto mas altas como largo es el hierro. Traducido a lenguaje mas claro, todos los jugadores humanos tenemos un hierro largo que es el ultimo que podemos golpear con solvencia, y a partir del cual, ademas de tener problemas de vuelo, también empezamos a no ganar la misma distancia entre palos o gap que ganábamos en nuestros hierros mas cortos.
Este efecto se explica bastante bien en la pagina de Tutelman, http://www.tutelman.com/golf/clubs/singleLength1.php , en particular de la gráfica que muestra como evoluciona el gap para diferentes velocidades de swing, en la que se ve que el gap empieza a ser ineficaz a partir de determinados hierros, y que este hierro de corte es mas cerrado para velocidades de swing elevadas, no representando problemas de distancia para velocidades de swing PGA Tour.

3.- La diferencia de comportamiento en el gap entre hierros es tan alta para diferentes velocidades de swing del jugador que estos hierros requieren de un fitting y un gaping preciso, para la velocidad de swing del jugador.
De la grafica anterior, también se pueden sacar otras conclusiones, y es que el gap es mucho mas irregular para estos juegos de palo de single length. A mi entender, eso significa que es mucho mas importante, casi necesario, hacer un fitting de gaps (ajustar los lofts en nuestros palos para asegurar los gaps) que en juegos tradicionales.
4.- La altura a través del set se ve muy variada, sobre todo en los hierros superiores al 7, lo cual hará que parar la bola sea mas difícil. Esto es, la bola de hierros cerrados (el equivalente a los hierros largos de un set tradicional) va a ser mas tendida y con mucho menos spin.
Queda por responder la pregunta que había pospuesto, ¿por que se elige El Hierro 7? Alguien podría pensar que el golpea mejor el hierro 8, por qué no cortar a distancia de hierro 8? Si se tiene en cuenta que para hierros superiores al hierro de corte, vamos a tener vuelos mas tendidos, difíciles de parar, degradación en gap entre hierros, etc, parece lógico reducir el numero de estos hierros.
A continuación me voy a permitir incluir mis propias recomendaciones. Quiero dejar claro que estas recomendaciones únicamente son las recomendaciones de @agsmith, y no comprometen la opinión oficial de @galaxiagolf
1.- Si tienes velocidad de swing inferior a 85-90 mph mejor no cambies a single length, y si lo haces compra solo hasta El Hierro 7. Claro que si compras solo hasta el hierro 7, ¿para que cambiar? Volvemos al principio, no cambies.
2.- Si tienes problemas levantando la bola con hierros largos, o tienes problemas de dispersión con hierros largos, no cambies. El ángulo de lanzamiento del equivalente del single length va a ser inferior al de su homologo, el spin va a ser inferior, la bola se va sostener peor y los efectos se van a notar muchísimo mas al ser el spin lateral mucho mas importante proporcionalmente al spin del vuelo. Quizás lo que tienes que hacer es buscar alternativas a tu juego de hierros mas sencillas, como hierros de mejora, combos hierro - híbridos (para superiores al 7, etc)
3.- Si te sientes cómodo con tus hierros cortos y wedges, y los golpeas bien: no cambies. Los hierros del 8 para abajo han degradado sus características de golpeo y aerodinámicas para disminuir la velocidad de lanzamiento.
4.- Si lo que buscas es convertirte en un icono del marketing, adelante, cambia. A Bryson de Chambeau le ha funcionado. Su notoriedad y por tanto su contrato de patrocinio esta muy por encima de su owgr. (a dia de hoy 93)
Espero haber aclarado conceptos y haber podido ayudaros a comprender este tipo de sets.
Un fuerte abrazo y nos vemos en el verde
@agsmith
Comentarios en este hilo.